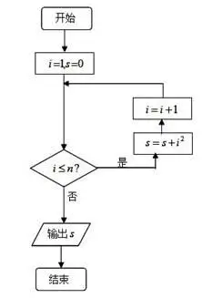
1-100的素数 流程图

高清图片下载 免费 安全无风险
1-100的素数 流程图

1-100的素数 流程图

点击图片查看原图

图片信息

  • 格式: JPG
  • 尺寸: 704x1224
  • 大小: 约1.2MB

版权声明

相关标签

自然风光 高清壁纸 4K画质

分享图片

相关推荐

基于当前图片的相似推荐

用java打印素数并输出 - 程序员大本营

流程图求解:输出1~100的素数

这个将100200之间的素数输出的流程图为什么最后的判断要是i小于等于

当然可以!根据上述算法就可以画出程序流程图.

用传统流程图表示求解以下问题的算法有两个瓶子a和b,分别盛放醋和

1到100之间的素数流程图怎么画?

流程图ns图伪代码分别描述解决如下实际问题的算法将100200之间的素数

c语言求一个数是不是素数c语言编写一个程序判断一个数是否为素数急求

下面是李林同学编写的"求100以内的素数"的vb程序,但该程序有3处错误

随机推荐

发现更多精彩图片

最新#身高体重对照表 来了,宝宝发育是否正常,一看就知道!附 - 抖音

女孩子的双丸子头玩一天不会散

宠物情侣头像/猫咪情侣头像

裙子幼儿园简笔画裙子涂色 第2页关键词 卡通连衣裙素材蝴蝶结粉色

1,锁骨短发锁骨短发是现在比较流行的一款短发发型,也是众多女生一种

奥特曼剪贴画 - 实验室设备网

【q版人物小课堂】教你画薄荷曼波可爱女生.右滑揭秘步骤图! - 抖音

朴彩英亮相巴黎时装周##朴彩英圣罗兰全球品牌大使

苹果香吉他谱_狼戈_c调弹唱

辛巴狗文字语录搞笑图片桌面壁纸