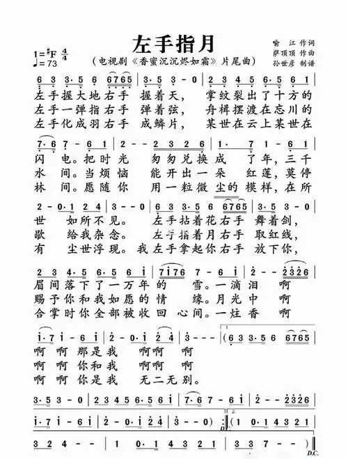
左手指月简谱-李雪蕊演唱-喻江/萨顶顶词曲1

高清图片下载 免费 安全无风险
左手指月简谱-李雪蕊演唱-喻江/萨顶顶词曲1

左手指月简谱-李雪蕊演唱-喻江/萨顶顶词曲1

点击图片查看原图

图片信息

  • 格式: JPG
  • 尺寸: 1240x1754
  • 大小: 约1.2MB

版权声明

相关标签

自然风光 高清壁纸 4K画质

分享图片

相关推荐

基于当前图片的相似推荐

左手指月简谱-萨顶顶-电视剧香蜜沉沉烬如霜片尾曲1

左手指月简谱-电视剧《香蜜沉沉烬如霜》片尾曲1

《左手指月》简谱 更喜欢周深唱的

简谱分享左手指月萨顶顶

左手指月简谱-萨顶顶演唱1

左手指月简谱-萨顶顶歌曲-孙世彦曲谱1

左手指月香蜜沉沉烬如霜片尾曲双手简谱预览1

『竖笛练习』左手指月(含简谱)

萨顶顶《左手指月》简谱 萨顶顶《左手指月》简谱分享

(五线谱,简谱) piano sheet music download :: [简谱]-萨顶顶 - 左手

随机推荐

发现更多精彩图片

帅气型男朱一龙黑色西装写真

2022一家人平安喜乐的好看卡通图片 收录冬天的小美好待到春天再播放

江疏影星座 江疏影星座是什么星座

周冬雨海边性感高清桌面壁纸

发型教程93中短发也可以扎的可爱丸子头!-度小视

动漫女头| 少女心粉色系动漫女头

比个你表情包大全搞笑图片表情

浪里白条张顺 主题线条完结 下次做背景与配饰图#巳安刺青 # - 抖音